交流回路のリアクタンスとは?電流を妨げるコイルとコンデンサの働き
交流回路にあるコイルとコンデンサは、抵抗のように電気の流れを妨げる働きをします。この働きは「リアクタンス」と呼ばれ、直流にはない交流特有の要素です。
本記事では、交流回路におけるリアクタンスについて、初心者の方にもわかりやすく解説します。「位相」も簡単に解説しますので、ぜひご一読ください。
なお本記事は交流の基礎を踏まえた内容になります。まだ交流を掴みきれていない方は、以下の記事を先にご覧ください。
関連記事:交流の基礎|直流との違いや最大値・実効値について解説
日本エネルギー管理センターは最短かつ最小の労力で合格を目指せるノウハウと、徹底した技能試験対策により、第二種電気工事士合格率が毎年90%以上を誇っています。
日本エネルギー管理センターの第二種電気工事士講習の詳細はこちらから
リアクタンスについては動画でも解説しています。
目次
交流回路における「リアクタンス」とは?

リアクタンスとは、交流回路における「電気の流れにくさ」を表したものです。
直流回路では抵抗が電気の流れを妨げる働きをしますが、交流回路では抵抗のほかにコイル(インダクタンス)とコンデンサ(キャパシタンス)も電気を流れにくくします。
コイルとコンデンサが交流電流を妨げる働きは、それぞれ以下のように呼ばれます。
- 誘導性リアクタンス:コイルが交流電流を妨げる働き
- 容量性リアクタンス:コンデンサが交流電流を妨げる働き
誘導性リアクタンス

交流回路にコイルが接続されているときに、コイルが発生させる電流を妨げる働きを「誘導性リアクタンス」と呼びます。
コイルは、イメージでいうとバネのようなものです。波のように極性を変える交流の動きを、バネが伸び縮みして邪魔する様子を思い浮かべていただくとイメージしやすいかと思います。
誘導性リアクタンスの単位は抵抗と同じ「Ω」であり、下図の式で表されます。

また、回路に流れる電流はオームの法則を使って求められます。ただ誘導性リアクタンスの大きさは交流の周波数に比例するため、同じコイルでも交流の周波数によって電流の値が変わります。
なお、コイルが接続されている交流回路に流れる電流は、電圧から90°位相が遅れて流れます。※位相については後述
容量性リアクタンス

交流回路にコンデンサが接続されているときに、コンデンサが発生させる電流を妨げる働きを「容量性リアクタンス」と呼びます。
コイルがバネなら、コンデンサは電気を蓄積できるバケツのイメージです。交流が極性を変えるとき、それに先駆けてバケツが電気を供給するようなイメージです。
よって、交流電圧に対してコイルが90°電流を遅れさせるのに対し、コンデンサのある回路では交流電流が90°進んで流れます。
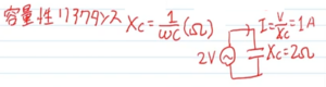
また容量性リアクタンスの単位も「Ω」であり、下図の式で表されます。

ここでポイントになるのが、容量性リアクタンスは周波数に反比例することです。オームの法則を使って交流電流が求められる点は誘導性リアクタンスと同じですが、周波数に対する挙動が誘導性リアクタンスは比例、容量性リアクタンスは反比例で真逆ですので、間違えないようにしてください。
交流における位相とは?
リアクタンスを勉強すると「位相」や「位相差」という用語が出てくるはずです。
位相とは「繰り返す周期のなかのとある位置」を指し、90°や180°といった「°」を使って表します。そして位相差は「位相と位相の差」のことです。
言葉で説明するとわかりにくいですが、たとえば「電圧に対する電流の位相差」は、「電圧に対して電流がどれくらいズレているか」を意味しています。ここで、リアクタンスについて思い出してみましょう。
- コイルの誘導性リアクタンス → 電圧に対して電流を90°遅らす
- コンデンサの容量性リアクタンス → 電圧に対して電流を90°進める
コイルが接続されているときの交流電圧と交流電流の関係は、下図のようになります。電圧(黒の波)に対して、電流(赤の波)です。

一方、コンデンサが接続されているとき、交流電流は下図の青の波のようになります。

慣れていないと、位相差を図でイメージするのはなかなか難しいですよね。しかし、これを知っているだけで解ける問題が筆記試験では出題されることもあるのです。例えば以下のような問題です。

90°進んだ波形がどうなるか知っていれば、すぐに「ハ」とわかってしまいます。位相の知識がある人にはサービス問題と言えるでしょう。
リアクタンスは複雑だが覚えることは少ない!しっかりマスターしよう
直流回路に比べ、交流回路は複雑な話が多くなります。とくにリアクタンスは位相の概念が絡んでくるため、はじめて電気を勉強する方には難しい内容かと思います。
ただ、覚えるべき公式や波形は多くありません。本記事やテキストを繰り返し読んで、しっかりマスターするようにしてください。
関連記事:第二種電気工事士を独学で合格する勉強方法|おすすめテキストも紹介
関連記事:筆記試験対策は早めに!効率良く勉強するポイントを紹介
日本エネルギー管理センターでは、最短かつ最小の労力で合格を目指せるノウハウと、徹底した技能試験対策を提供しております。
第二種電気工事士合格率は毎年90%以上を誇ります。第二種電気工事士へ最短ルートでなりたい方は、ぜひ第二種電気工事士講習をご検討ください。



